路基沉降自動化監測系統

                      概述:沉降量作為工程建設中一項基本的、重要的監測參數,不僅對于工程建設期間的監測顯得重要,而且對于已完成的工程在運營期間的監測則尤顯重要。
基于壓阻式靜力水準儀(物位計)的沉降監測系統可對建筑及路基等工程項目的沉降監測提供有效的幫助,特別是對空間有超限要求的,如鐵路以及地鐵監測更符合實際工況使用。
基于壓阻式靜力水準儀(物位計)的沉降監測系統可對建筑及路基等工程項目的沉降監測提供有效的幫助,特別是對空間有超限要求的,如鐵路以及地鐵監測更符合實際工況使用。
傳感器功能
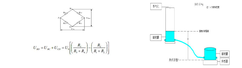
工作原理:各沉降監測點安裝壓阻式靜力水準儀,并需要在一相對不動點安裝基準罐。傳感器之間通過高強度的氣壓管聯接一起匯入到基準罐,每個水準儀內部都安裝有高精硅壓傳感器,在基準罐與傳感器之間充滿液體介質,水準儀內的壓力傳感器感測到的是該點到基準罐液體表面的壓力,該壓力與液面高度有一定線性關系。如果壓力傳感器感測到壓力發生變化即說明該點與基準液面之間的高差發生變化,根據出廠前的壓力變化量與液面高差的標定線性表,靜力水準儀內部的單片機可以計算出高差變化值。根H=P/ρ*g計算出從測點到基準點液面到傳感器高度。原理示意圖如下:
壓阻傳感器采用電阻全橋結構,如圖所示:A、C端接直流電源,B、D端為壓阻傳感器輸出的電壓。再通過A/D芯片將輸出的模擬電壓經過處理放大轉換成數字信號。MCU采集到相應的參數之后,通過存儲芯片上標定系數擬化出所受壓力值。為保證測量的準確性,在每次測量前調零使電橋平衡,即使UBD=0。
	
  產品介紹
	 精度:0.1%;長期使用無溫度飄移,穩定性達到精度要求。自主研發高分子液體介質:防凍、防火、不易揮發、不結冰、無氣泡、溫度膨脹收縮系數小、摩阻力小。通信端口:CAN、RS485;產品尺寸相對小,對安裝位置要求不高,安裝方式靈活。量程范圍大,適應各種沉降監測要求;基準點與監測點不必在同一水平面,只要基準點與監測點的高差范圍在量程范圍內即可滿足測量要求;可通過RS485以及CAN總線接入北斗監測平臺進行自動監測;量程:500mm、1000mm、3500mm、10m;分辨率:0.1mm;工作電壓:直流12V;工作電流:25mA;防水等級:可深埋地下1米;環境因素:全密閉、耐酸堿、適應惡劣環境;工作溫度:-40℃至80℃;海拔:-200m至4500m
 
  精度:0.1%;長期使用無溫度飄移,穩定性達到精度要求。自主研發高分子液體介質:防凍、防火、不易揮發、不結冰、無氣泡、溫度膨脹收縮系數小、摩阻力小。通信端口:CAN、RS485;產品尺寸相對小,對安裝位置要求不高,安裝方式靈活。量程范圍大,適應各種沉降監測要求;基準點與監測點不必在同一水平面,只要基準點與監測點的高差范圍在量程范圍內即可滿足測量要求;可通過RS485以及CAN總線接入北斗監測平臺進行自動監測;量程:500mm、1000mm、3500mm、10m;分辨率:0.1mm;工作電壓:直流12V;工作電流:25mA;防水等級:可深埋地下1米;環境因素:全密閉、耐酸堿、適應惡劣環境;工作溫度:-40℃至80℃;海拔:-200m至4500m
硅壓芯片及產品出廠檢驗
	 
 
	 
 
	 傳感器其他特點:
 
  傳感器其他特點:
全球編號:傳感器編號全球,無須人工編號。杜絕人為編號混亂或信息丟失等現象。確保了數據與傳感器相對應的唯一性;內置數據存儲器:傳感器內置1600條數據存儲空間,數據循環記錄,可隨時從傳感器中下載相關紀錄。在其他載體的數據資料丟失時,確保原始資料的安全;內置電子標簽:傳感器內置電子標簽,包含產品規格、型號、參數、生產日期等信息。用戶還可自行設置傳感器的自編號(如安裝位置)等內容,方便用戶快捷、準確地識別和定位傳感器;直接物理量輸出:傳感器內置國際先進的計算芯片,自動對測量數據進行換算,直接輸出監測物理量,無須人工轉換。降低人工勞動強度,同時也保證了數據的真實性;自動溫度補償:傳感器可實時自動進行溫度補償,提高傳感器在不同氣候條件下的適應性及監測數據的穩定。
系統構成
	 系統功能
 
  系統功能
1)CAN總線有可靠的錯誤處理和檢錯機制;2)CAN總線的通訊失敗率極低;3)CAN總線中單個傳感器出現問題對整個系統的數據采集無任何影響,并能顯示出哪個傳感器出現故障,易于系統維護;4)CAN總線的通訊距離最長可達10km;5)CAN總線的系統調試非常容易;6)CAN總線的后期維護成本非常低;7)高速數據傳輸:可傳送大容量的高質量音頻和視頻文件;8)數據終端永遠在線,只按數據流量計費,接入232/485/CAN信號;9)支持雙頻900M/1800M;10)支持虛擬數據專用網和多數據中心;11)支持動態數據中的域名和IP地址;12)短信數據備用通道;13)通過Xmodem協議進行軟件升級;14)自診斷與告警輸出;15)優化電磁兼容設計適合電磁環境惡劣和要求較高的應用要求;16)采用先進電源計劃,供電電源適應范圍寬;17)可通過光纖傳輸數據,通訊方式多樣
采集箱與服務器通信兩種組網方式:
	
		
用戶軟件部分
用戶通過該平臺根據權限查看各自站點數據,數據可以現場布局圖顯示,也可以二維曲線顯示,還可根據時間段設置打印報表。同時可以設置具體每個傳感器的幾級警戒值,超過警戒值會自行報警。系統平臺可海量數據存儲,所有數據均有備份,可以追根溯源。
	 
 
	 
 
	
		
                 
                基于壓阻式靜力水準儀(物位計)的沉降監測系統可對建筑及路基等工程項目的沉降監測提供有效的幫助,特別是對空間有超限要求的,如鐵路以及地鐵監測更符合實際工況使用。
基于壓阻式靜力水準儀(物位計)的沉降監測系統可對建筑及路基等工程項目的沉降監測提供有效的幫助,特別是對空間有超限要求的,如鐵路以及地鐵監測更符合實際工況使用。
傳感器功能
工作原理:各沉降監測點安裝壓阻式靜力水準儀,并需要在一相對不動點安裝基準罐。傳感器之間通過高強度的氣壓管聯接一起匯入到基準罐,每個水準儀內部都安裝有高精硅壓傳感器,在基準罐與傳感器之間充滿液體介質,水準儀內的壓力傳感器感測到的是該點到基準罐液體表面的壓力,該壓力與液面高度有一定線性關系。如果壓力傳感器感測到壓力發生變化即說明該點與基準液面之間的高差發生變化,根據出廠前的壓力變化量與液面高差的標定線性表,靜力水準儀內部的單片機可以計算出高差變化值。根H=P/ρ*g計算出從測點到基準點液面到傳感器高度。原理示意圖如下:
壓阻傳感器采用電阻全橋結構,如圖所示:A、C端接直流電源,B、D端為壓阻傳感器輸出的電壓。再通過A/D芯片將輸出的模擬電壓經過處理放大轉換成數字信號。MCU采集到相應的參數之后,通過存儲芯片上標定系數擬化出所受壓力值。為保證測量的準確性,在每次測量前調零使電橋平衡,即使UBD=0。

 
 
硅壓芯片及產品出廠檢驗

	出廠檢驗
 
 
	恒溫恒濕試驗箱
 
 
	檢驗合格證明
 
 
全球編號:傳感器編號全球,無須人工編號。杜絕人為編號混亂或信息丟失等現象。確保了數據與傳感器相對應的唯一性;內置數據存儲器:傳感器內置1600條數據存儲空間,數據循環記錄,可隨時從傳感器中下載相關紀錄。在其他載體的數據資料丟失時,確保原始資料的安全;內置電子標簽:傳感器內置電子標簽,包含產品規格、型號、參數、生產日期等信息。用戶還可自行設置傳感器的自編號(如安裝位置)等內容,方便用戶快捷、準確地識別和定位傳感器;直接物理量輸出:傳感器內置國際先進的計算芯片,自動對測量數據進行換算,直接輸出監測物理量,無須人工轉換。降低人工勞動強度,同時也保證了數據的真實性;自動溫度補償:傳感器可實時自動進行溫度補償,提高傳感器在不同氣候條件下的適應性及監測數據的穩定。
系統構成
 
 
1)CAN總線有可靠的錯誤處理和檢錯機制;2)CAN總線的通訊失敗率極低;3)CAN總線中單個傳感器出現問題對整個系統的數據采集無任何影響,并能顯示出哪個傳感器出現故障,易于系統維護;4)CAN總線的通訊距離最長可達10km;5)CAN總線的系統調試非常容易;6)CAN總線的后期維護成本非常低;7)高速數據傳輸:可傳送大容量的高質量音頻和視頻文件;8)數據終端永遠在線,只按數據流量計費,接入232/485/CAN信號;9)支持雙頻900M/1800M;10)支持虛擬數據專用網和多數據中心;11)支持動態數據中的域名和IP地址;12)短信數據備用通道;13)通過Xmodem協議進行軟件升級;14)自診斷與告警輸出;15)優化電磁兼容設計適合電磁環境惡劣和要求較高的應用要求;16)采用先進電源計劃,供電電源適應范圍寬;17)可通過光纖傳輸數據,通訊方式多樣
采集箱與服務器通信兩種組網方式:
|   |   | 
| 優點:網絡搭建相對自由,且不需資費。 缺點:只能在視距10KM 距離內使用,有障礙物會影響其通信距離。 
					 | 優點:距離無限,只要無線采箱處,有GPRS網絡就能傳輸。 缺點:需要資費,且GPRS信號強弱會影響通信穩定性。 
					 | 
用戶軟件部分
用戶通過該平臺根據權限查看各自站點數據,數據可以現場布局圖顯示,也可以二維曲線顯示,還可根據時間段設置打印報表。同時可以設置具體每個傳感器的幾級警戒值,超過警戒值會自行報警。系統平臺可海量數據存儲,所有數據均有備份,可以追根溯源。
 
 
	二維曲線變化趨勢
 
 
	現場聯結示意圖
| 項目名稱 | 我公司產品在相對應溫度的測量跳動值 | 北京某公司產品在對應溫度的測量跳動值 | 上海某公司產品在對應溫度的測量跳動值 | |
| 高低溫箱溫度實驗比較 | -40℃ | 0.49mm | 采不到數據 | 采不到數據 | 
| -30℃ | 0.49mm | 采不到數據 | ||
| -20℃ | 0.48mm | 6.6mm | 7.8mm | |
| -10℃ | 0.4mm | 5.8mm | 6.5mm | |
| 0℃ | 0.45mm | 5.1mm | 5.7mm | |
| 10℃ | -0.43 mm | -5.4mm | -6.8 mm | |
| 20℃ | -0.44 mm | -5.5 mm | -6.6mm | |
| 30℃ | -0.47 mm | -5.8 mm | -6.8 mm | |
| 40℃ | -0.42 mm | -6.1 mm | -7.2 mm | |
| 50℃ | -0.49 mm | -6.8 mm | -8 mm | |
| 60℃ | -0.49 mm | -7.5 mm | -8.6mm | |
| 自然環境穩定性實驗比較20℃-40℃ | 0.1mm-0.5mm跳動 | 1mm-5mm跳動 | 1mm-7mm跳動 | |
| 系統穩定性實驗比較 | Can總線系統穩定,系統總線長度可達10KM,降低成本 | 485總線存在整體讀不出數據的風險,系統總線長度最多1.5KM,成本較高 | 485總線存在整體讀不出數據的風險,系統總線長度最多1.5KM,成本較高 | |
| 液體介質比較 | 自主研發高分子液體。不易揮發、不結冰、穩定收縮膨脹系數小、摩阻力小 | 通用防凍液 | 通用防凍液 | |
| 實驗條件比較 | 與國外芯片廠商在廣東江門共同設立了溫度標定和穩定性實驗室 | 未了解 | 未了解 | |



 
             
             
             
            